2020年10月の気になった論文(完全版)
もう10月、今年もあと100日切ってるまじ?
人生をやっていく。
2020/10/2 Ver.1 No. 1~22
2020/10/5 Ver.2 No. 23~31
2020/10/9 Ver.3 No. 32~63
2020/10/12 Ver.4 No. 64~78
2020/10/16 Ver.5 No. 79~86
2020/10/22 Ver.6 No. 87~117
2020/10/30 Ver.7 No. 118~143
・強相関電子系未解決問題集、楽しそうね
・100年来の難問、磁気空間群のトポロジカル分類(゚∀゚)キタコレ!!
・Bi2Te3/NbSe2の超伝導状態の部分的Fermi面のQPI、かっこいい
・その場捻りトロニクス、テクい
・MoSe2関連のウィグナー結晶、TMDはおもしろ物性の宝庫やね
・LiFeAsでのマヨラナゼロモードの発見、いま鉄系がマヨラナで熱い!
・単層WTe2がエキシトニック絶縁体だったり謎の量子振動&ランダウ量子化示して熱い
・270GPaだけど室温超伝導@15℃ キタ━━━━(゚∀゚)━━━━!!
・冷却原子でSU(6)ハバードモデルの実現、熱いわね
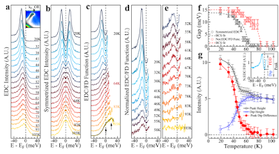
・FeSe/STOの擬ギャップ的振る舞い。別の相由来の擬ギャップなのか超伝導ゆらぎなのか、磁場とかかけたら区別できるかな?
1,VUbiquitous topological states of phonons in solids: Silicon as a model material
https://arxiv.org/abs/2010.00224
シリコンがトポロジカルフォノン研究に適しているという説( ᷇ᵕ ᷆ )
https://arxiv.org/abs/2010.00224
シリコンがトポロジカルフォノン研究に適しているという説( ᷇ᵕ ᷆ )
2,DYNASOR -- A tool for extracting dynamical structure factors and current correlation functions from molecular dynamics simulations
https://arxiv.org/abs/2010.00089
分子動力学計算から動的構造因子と電流相関関数を抜き出すダイナソーちゃん
〆(゚▽゚*) メモメモ
4,Adding Machine Learning within Hamiltonians: Renormalization Group Transformations, Symmetry Breaking and Restoration
機械学習を統計力学の範疇で捉えようという物理帝国
5,Response to comment on "Lack of a genuine time crystal in a chiral soliton model" by Öhberg and Wright
「カイラルソリトンモデルでガチの時間結晶できる!」
https://journals.aps.org/prl/abstract/10.1103/PhysRevLett.123.250402
→
「いや、そのモデルやとできへんて」
https://journals.aps.org/prl/abstract/10.1103/PhysRevLett.124.178901
https://journals.aps.org/prresearch/abstract/10.1103/PhysRevResearch.2.032038
→
「はぁ???ほんまにできるわ!!!!」
https://journals.aps.org/prl/abstract/10.1103/PhysRevLett.124.178902
https://arxiv.org/abs/2008.10940
https://journals.aps.org/prl/abstract/10.1103/PhysRevLett.123.250402
→
「いや、そのモデルやとできへんて」
https://journals.aps.org/prl/abstract/10.1103/PhysRevLett.124.178901
https://journals.aps.org/prresearch/abstract/10.1103/PhysRevResearch.2.032038
→
「はぁ???ほんまにできるわ!!!!」
https://journals.aps.org/prl/abstract/10.1103/PhysRevLett.124.178902
https://arxiv.org/abs/2008.10940
→
「いやだから、それ時間結晶になってないって」(イマココ)
「あんたの理論、時間結晶になってないぞ」論争、まだ続いてたのか
6,Absence of true localization in many-body localized phases
多体局在は過渡的な現象で真の局在ではないよ説(´・∀・`)ヘー
7,TBG V: Exact Analytic Many-Body Excitations In Twisted Bilayer Graphene Coulomb Hamiltonians: Charge Gap, Goldstone Modes and Absence of Cooper Pairing
捻り2層グラフェン理論その五(; ・`д・´)ゴクリ
TBG VI: An Exact Diagonalization Study of Twisted Bilayer Graphene at Non-Zero Integer Fillings
捻り2層グラフェン理論その6、どこまで出るんだろう?
8,Anisotropic spin distribution and perpendicular magnetic anisotropy in the layered ferromagnetic semiconductor (Ba,K)(Zn,Mn)2As2
磁性とキャリア量を別個に制御できる強磁性半導体フム(( ˘ω ˘ *))フム
9,Beyond Ohm's law -- Bernoulli effect and streaming in electron hydrodynamics
オシャタイ。電子粘性流体を検証できる実験の提案、楽しそうね
10,Universal limiting transition temperature for the high Tc superconductors
銅酸化物の超伝導転移温度、ネルンスト効果の測定とか踏まえると135Kが上限説、なるほど、超伝導前駆現象の温度は実際にTcの上限を示唆してるのか。
昔Hg系だと超伝導前駆温度とか擬ギャップ温度がどうなるのか考えた記憶が蘇った。
| Tcが高い物質ほど超伝導前駆温度Tonsetが一致する |
11,High-temperature superconductivity on the verge of a structural instability in lanthanum superhydride
水素化ランタンの超伝導、構造不安定性と関係してるよという実験、(´・∀・`)ヘー
12,The Future of the Correlated Electron Problem
今年の1月に偉い先生が50人くらいで語り合った、強相関電子系の未解決問題集、激アツだぜ(ㆁᴗㆁ✿)
| いろんな測定手段の最高性能(著者調べ) |
14,Silicon carbide diodes for neutron detection
炭化ケイ素ダイオードで中性子検出、そんな使い道が
15,EZFF: Python Library for Multi-Objective Parameterization and Uncertainty Quantification of Interatomic Forcefields for Molecular Dynamics
原子間力場を計算するPythonライブラリ(´・∀・`)ヘー
16,Room temperature skyrmions in an exchange biased antiferromagnet
IrMnと強磁性体の界面に室温ゼロ磁場でスキルミオン安定、熱いな
17,Progress on band structure engineering of twisted bilayer and two-dimensional moiré heterostructures
捻り2層物質のバンドエンジニアリングの最新レビュー(´・∀・`)ヘー
18,Helical magnetic order and Fermi surface nesting in non-centrosymmetric ScFeGe
ヘリカルヘリカルピユルルルルー
19,Deep Reinforcement Learning for Efficient Measurement of Quantum Devices
強化深層学習で量子デバイスの測定を効率化フム(( ˘ω ˘ *))フム
20,Spin Moiré Engineering of Emergent Electromagnetism
スピンモアレエンジニアリング( ー̀֊ー́ )✧︎
21,A quantum magnetic analogue to the critical point of water
水の相図の臨界点みたいな振る舞いをフラストレーション反強磁体 SrCu2(BO3)2 で見つけたよ論文、オシャタイ候補
| SrCu2(BO3)2 の磁場、温度、圧力相図(*^^*) |
22,The Quantum Hall Effect in the Absence of Disorder
乱れゼロだとどうなるのか問題、量子ホール効果は奥が深い
###################################
23,Magnetic Topological Quantum Chemistry
100年来の難問、磁気空間群のトポロジカル分類が200ページ論文でキタ━(゚∀゚)━!
物質データベースの網羅的探索で、非アキシオン高次トポロジカル絶縁体候補の発見(゚∀゚)キタコレ!!
24,Vanishing thermal equilibration for hole-conjugate fractional quantum Hall states in graphene
グラフェン分数量子ホール系のエッジ状態で電荷平衡は成り立つのに熱平衡は消失する、どういうこと(・ε・` )? 静電相互作用による熱平衡長の発散なる現象があるのか。
25,Machine-learning-enhanced time-of-flight mass spectrometry analysis
飛行時間質量分析を機械学習でエンハンス、時代だ
26,Observation of a Chiral Wave Function in Twofold Degenerate Quadruple Weyl System BaPtGe
非弾性X線分光で4重ワイルフォノン系のカイラル波動関数を観測する、オシャレやね
27,Large negative magnetoresistance in BaMn2Bi2 antiferromagnet
マンガンビスマス122の巨大負の磁気抵抗、楽しそう。
反強磁性パリティ-時間反転対称性の破れや多軌道物理と関係有るといいわね(*^^*)
28,Singular magnetic anisotropy in the nematic phase of FeSe
デツイン鉄セレンのNMR、異方性が1111と逆になる、テクいな
29,Controlling Tc of Iridium Films Using the Proximity Effect
イリジウム薄膜の厚さを変えて、Tc=20~100mKを実現、冷たい!
| Ir/Ptバイレイヤーの超伝導Tc=45mK。図の単位間違えてない?? |
30,Experimental Evidence that Zn Impurities Pin Pair-Density-Wave Order in La2−xBaxCuO4
LBCOに亜鉛を入れるとPDWをピン留めできるフム(( ˘ω ˘ *))フム
31,Magnetically-induced local lattice anomalies and low-frequency nematic fluctuations in the Mott insulator La2O3Fe2Se2
ウンウン、それもまた量子液晶だね(*^^*)
###############################
32,Emergence of Chern insulating states in non-Magic angle twisted bilayer graphene
捻りグラフェン、マジックアングル以外でもチャーン絶縁体状態出るよ論文、何でも出るな〜
| テクいデバイス構造だ |
33,In situ twistronics of van der Waals heterostructures
ファンデルワールスヘテロ接合ツイストロニクスのための、その場捻りプロセスの開発、熱いな
| ゲルの取っ手をつけてクルクル回す、すごいアイデアだ |
34,Dirac Fermion kinetics in three-dimensionally curved graphene
湾曲させたグラフェンのディラック電子物性、楽しそうね
35,Photo-excitation band-structure engineering of 2H-NbSe2 probed by time- and angle-resolved photoemission spectroscopy
光でバンド構造を制御する( ³ω³ ).。O
36,Metallic islands in the Kondo insulator SmB6
SmB6にGdが0.4%含まれるだけで局所的に金属的になる、これが直流と交流伝導の振る舞いの違いに効いてるのでは説、奥が深いな
37,Spin-orbit coupling induced splitting of Yu-Shiba-Rusinov states in antiferromagnetic dimers
YSR状態に対するスピン軌道相互作用の効果をエステーエムでみるフム(( ˘ω ˘ *))フム
38,Anisotropic Fully-Gapped Superconductivity Possibly Mediated by Charge Fluctuations in a Nondimeric Organic Complex
電荷ゆらぎ超伝導、(´・∀・`)ヘー
39,Probing topological spin structures using light-polarization and magnetic microscopy
https://arxiv.org/abs/2010.03452
トポロジカルスピン構造の可視化、楽しそう
40,Direct observation of symmetry-breaking in a ferroelectric polar metal
強誘電極性金属の対称性破れの直接観測、直接と間接の違いってなんだろう?キスの仕方?
41,A scanning quantum cryogenic atom microscope at 6 K
BECを利用した走査型量子冷却原子顕微鏡の改良、色んなものが見えそうね
42,High-throughput techniques for measuring the spin Hall effect
スピンホール効果を効率的に測る方法┌(┌^o^)┐
43,Observation of Wigner crystal of electrons in a monolayer semiconductor
単層モセセのウィグナー結晶の発見、熱いな
44,Signatures of bilayer Wigner crystals in a transition metal dichalcogenide heterostructure
モセセ/h-BN/モセせのウィグナー結晶の発見、あついな
| 単層MoSe2のウィグナー結晶 |
45,Linear magnetoresistance with a universal energy scale in a strong-coupling superconductor
モガMo8Ga41、磁場で超伝導潰すと量子臨界点もないのに銅酸化物みたいな線形磁気抵抗見えるすごい
46,Misfit phase (BiSe)1.10NbSe2 as the origin of superconductivity in nobium-doped bismuth selenide
NbxBi2Se3超伝導、実はニオブが層間に入ってなくてNbSe2の層状化合物になってるワロタ
47,Extracting correlation effects from Momentum-Resolved Electron Energy Loss Spectroscopy (M-EELS): Synergistic origin of the dispersion kink in Bi2.1Sr1.9CaCu2O8+x
運動量分解電子エネルギー損失分光で銅酸化物のバンド分散のキンクの起源を探る(E)
48,A Relativistic Paradox and its Resolution or Who drives the entropy current between two bodies in relative motion?
互いに動いている熱浴間のエントロピーのやり取りはどうなってるの問題、相対論的熱力学かぁフムフム
50,AiiDAlab -- an ecosystem for developing, executing, and sharing scientific workflows
アイーダ…科学データ処理プラットフォーム…( ´・ω・`)
51,Topological phases of amorphous matter
トポロジカルアモルファス物質の最新レビュー、なんでもトポね
52,Tracing orbital images on ultrafast time scales
時間分解光電子分光と運動量顕微鏡を合わせて、励起電子の運動量分布を可視化、フロンティア軌道の可視化への第1歩論文(((o(*゚▽゚*)o)))
53,Record-quality two-dimensional electron systems
世界最高に綺麗なGaAs2次元電子系つくったら、これまで見えてなかった分数量子ホール状態が見えるようになったよ、(ㆁᴗㆁ✿)
55,Discovery of segmented Fermi surface induced by Cooper pair momentum
「Bi2Te3 thin films proximitized by the superconductor NbSe2」で、エステーエムによるボコリューボフ準粒子フェルミ面の観測キタ━(゚∀゚)━!
56,Microscopic electronic structure tomography of Rydberg macrodimers
分子の内部自由度を調節して測定するのは難しいけど、リドベルグダイマーならできたよ!論文、時代はリドベルグ原子ね
57,Flat Band Quantum Scar
https://arxiv.org/abs/2010.02044
フラットバンド量子スカー(´・∀・`)ヘー
フラットバンド量子スカー(´・∀・`)ヘー
58,Possible multi-orbital ground state in CeCu2Si2
X線吸収分光、250mKまで測れるの凄い
59,Neural-Network Quantum States for the Electronic Structure of Real Solids
ニューラルネットワーク量子状態、流行り?
60,Skyrmion Superconductivity: DMRG evidence for a topological route to superconductivity
スキルミオン超伝導理論キタ━(゚∀゚)━!
61,Evidence for a gapless Dirac spin-liquid ground state in a spin-3/2 triangular-lattice antiferromagnet
α-CrOOHはスピン3/2ギャップレスディラックスピン液体(E)
ESRすごいわね。
62,Strong antiferromagnetic proximity coupling in a heterostructured superconductor Sr2VO3FeAs
層の厚い鉄系の強い層間の磁気結合フム(( ˘ω ˘ *))フム
63,Topological magnetic order and superconductivity in EuRbFe4As4
鉄系の┌(┌^o^)┐トポォ…磁性
Tc以下でEuの磁気転移が存在して、EuとFeAs層のカップリングが弱いので、Eu層が理想的な二次元XY磁性状態になってる。ESRすごい。
##############################
64,Single-site-resolved imaging of ultracold atoms in a triangular optical lattice
光格子中の単一サイト分解冷却原子イメージングキタ━(゚∀゚)━!
65,Interpretable and unsupervised phase classification
解釈可能相分類を教師なし機械学習する、時代やね
66,Classical higher-order topological insulators
高次トポロジカル絶縁体の最新レビューフム(( ˘ω ˘ *))フム
67,Accelerating Finite-temperature Kohn-Sham Density Functional Theory with Deep Neural Networks
深層学習で有限温度密度汎関数計算を加速する、時代やね
68,Machine Learning approach to muon spectroscopy analysis
ミューオン分光のデータを機械学習で分析、時代やね
69,Interfacial Ferroelectricity by van-der-Waals Sliding
ボロンナイトライドの界面に誘電性が発現することを発見フム(( ˘ω ˘ *))フム
70,Pythonic Black-box Electronic Structure Tool (PyBEST). An open-source Python platform for electronic structure calculations at the interface between chemistry and physics
Pythonを使った電子構造計算ソフト、パイベストキタ━(゚∀゚)━!
71,Evidence for a Monolayer Excitonic Insulator
単層ワテテの基底状態はエキシトニック絶縁体ですよキタ━(゚∀゚)━!
Landau Quantization and Highly Mobile Fermions in an Insulator
2次元絶縁体単層ワテテで、謎の中性粒子フェルミ面由来のランダウ量子化の観測キタ━(゚∀゚)━!
| エキシトニック絶縁体の場合とバンド絶縁体の場合の違い |
72,Piezoelectric-driven uniaxial pressure cell for muon spin relaxation and neutron scattering experiments
ミューオン回転法と中性子散乱に使えるピエゾ一軸圧力セルキタ━(゚∀゚)━!
73,Capping layer influence and isotropic in-plane upper critical field of the superconductivity at the FeSe/SrTiO3 interface
単層鉄セレン、外気に出す保護膜としては鉄テルルが1番イイよ説キタ━(゚∀゚)━!
74,Observation of Josephson-like tunneling junction characteristics and positive magnetoresistance in Oxygen deficient Nickelate films of Nd0.8Sr0.2NiO3−δ
酸素欠損ニッケル酸化物でゼロ抵抗は見えないけどジョセフソン接合みたいな兆候アヤシイキタ━(゚∀゚)━!
75,Hydrothermal synthesis and complete phase diagram of FeSe1−xSx (0≤x≤1) single crystals
鉄セレン硫黄の全ての組成の単結晶合成成功きたけど作り方めんどくさいキタ━(゚∀゚)━!
| SeとSの中間組成で電気抵抗に謎のアップターン、磁気秩序か?1111の相図っぽい |
76,Band-Selective Third-Harmonic Generation in Superconducting MgB2: Evidence for Higgs Amplitude Mode in the Dirty Limit
MgB2で超伝導転移温度以下で3次高調波発生の観測キタ━(゚∀゚)━!
77,Tunable vortex Majorana zero modes in LiFeAs superconductor
混ざりもののない鉄系超伝導物質、LiFeAsでもマヨラナゼロモードのエステーエム観測キタ━(゚∀゚)━!
鉄系マヨラナはFe(Te,Se)、CaKFe4As4に続いて3例目か。
最近とんと話題にでないけど、s++波とかs±波対称性とか、マヨラナの有無に効いてくるのかな?
| 不純物の影響で、超伝導渦中に現れるマヨラナゼロモードさん |
78,Photoinduced Dirac semimetal in ZrTe5
トポロジカル絶縁体ジルコテルファイブ、光を当てるとディラック半金属になる、楽しそう
##########################
79,室温超伝導(゚∀゚)キタコレ!!
Room-temperature superconductivity in a carbonaceous sulfur hydride
First room-temperature superconductor excites — and baffles — scientists
Superconductivity gets heated
室温超伝導論文、投稿から1週間ちょっとでNatureアクセプトワロタ
とはいえ、謎の高圧下室温超伝導C-H-S物質、田中クライテリアに照らすと、物質同定と第三者の再現が課題やね
Reaching room temperature superconductivity by optimizing doping in LaH10?
LaH10にAlを混ぜたら、Tcが20%弱くらい上がるンゴ理論、やっぱ時代はAIやねんな
とおもってたら、C-S-H系が室温超伝導到達ですか
80,Visualizing the multifractal wavefunctions of a disordered two-dimensional electron gas
合金表面の2次元電子ガスのマルチフラクタルスケーリングをエステーエムとスピン角度分解逆光電子分光で可視化、すごい
81,Observation of antiferromagnetic correlations in an ultracold SU(N) Hubbard model
SU(6)ハバードモデルを冷却原子で実現!熱いな(冷たい)
82,Stacking-engineered ferroelectricity in bilayer boron nitride
2層ボロンナイトライドが室温まで誘電性示すし、捻り効果も発見キタ━(゚∀゚)━!
83,Faithful derivation of symmetry indicators: A case study for topological superconductors with time-reversal and inversion symmetries
「it is generally difficult to faithfully predict the boundary Majoranas ~ due to the lack of well-established bulk-boundary correspondence」
高次トポロジカル物質のバルク境界対応良くわかってないぞ説、まなび
84,High-order harmonic generation in graphene: nonlinear coupling of intra and interband transitions
「enhance the HHG by blocking a part of the channels and canceling the destructive interference through band-gap or chemical potential manipulation」
まなび
85,Suppression of axionic charge density wave and onset of superconductivity in the chiral Weyl semimetal Ta2Se8I
https://arxiv.org/abs/2010.07345
アキシオン電荷密度波状態を圧力で抑制すると出てくる超伝導、妖しいぜ!
| 色使いがダークすぎる |
86,Dynamic fingerprint of fractionalized excitations in single-crystalline Cu3Zn(OH)6FBr
https://arxiv.org/abs/2010.07900
新しい量子スピン液体候補、ラマン分光法と高次高調波分光で検証、やっぱQSLやねん!
#################################
87,Switching on surface conduction in a topological insulator
トポロジカル絶縁体に光を当てると、数百年くらい持続する表面伝導状態が生じる、歴史を感じる…
90,Catalogue of phonon modes in several cuprate high-temperature superconductors from density functional theory
銅酸化物のフォノンモードのカタログ、渋すぎる
91,Graphene Field Effect Transistors: A Review
グラフェン電界効果トランジスタの最新レビュー、テクノロジーを感じる
92,Observation of Yu-Shiba-Rusinov states in superconducting graphene
近接効果でグラフェンを超伝導にしてYSR状態を観測、渋い
93,Ambipolar magneto-optical response of ultra-low carrier density topological insulators
トポロジカル絶縁体のキャリア量をめちゃくちゃ減らして光学応答を調べるとディラック電子由来の量子化応答が見えるよ、楽しそうね
95,Determination of the helical edge and bulk spin axis in quantum spin Hall insulator WTe2
単層ワテテが量子スピンホール絶縁体の証拠キタ━(゚∀゚)━!
96,Combined synchrotron X-ray diffraction and NV diamond magnetic microscopy measurements at high pressure
圧力下で放射光X線とダイヤモンドNVセンター磁力測定を実行、テクい
97,Strong Ferromagnetism Achieved via Breathing Lattices in Atomically Thin Cobaltites
LaCoO3薄膜の強い強磁性強い
98,Chern-Simons superconductors and their instabilities
チャーンサイモンズ超伝導…(; ・`д・´)ゴクリンコ
100,Temporarily enhanced superconductivity from magnetic fields
磁場を急にかけると超伝導秩序パラメータが大きくなるよね理論、ほんまか?
101,The electron-phonon coupling constant, the Fermi temperature and unconventional superconductivity in a room-temperature superconductor carbonaceous sulfur hydride
ネイチャーに出た高圧下室温超伝導、電気抵抗から電子格子相互作用を見積もって植村プロット確認!
| よし、Log-Logライン上だな! |
102,Absence of high temperature superconductivity in hydrides under pressure
ネイチャーに出た高圧下室温超伝導、あの実験データだと超伝導の証拠になってないだろ理論キタ━(゚∀゚)━!
さすが俺たちのハーシュだぜ(*•̀ᴗ•́*)و ̑̑!
103,Superconductivity of highly spin-polarized electrons in FeSe probed by 77Se NMR
鉄セレンの高磁場相、たしかに妖しい超伝導になってるのをNMRで確認、テクいな
104,Moiré surface states and "high-temperature" superconductivity in topological insulators
モアレ表面状態とトポロジカル絶縁体高温超伝導フム(( ˘ω ˘ *))フム
105,How machine learning can help the design and analysis of composite materials and structures?
複合物質のデザインを如何に機械学習で実現するか、の最新レビュー、時代を感じる
106,An Introduction to Electrocatalyst Design using Machine Learning for Renewable Energy Storage
再生可能エネルギー貯蔵のため電解触媒を機械学習でみつけるのねんレビュー、需要を感じる
107,Unsupervised Machine Learning Discovery of Chemical Transformation Pathways from Atomically-Resolved Imaging Data
STEMデータから教師なし学習で化学的変化を発見する手法、時代を感じる
108,A new phenomenon in graphene: The pseudospinorial Zitterbewegung
グラフェンの新現象、擬スピノリアルジッタベヴェグング(舌を噛み切る
109,Momentum-space Berry curvature in a canted ferromagnet: spin-orbit coupling versus spin non-coplanarity
(Nd、Ca)2Mo2O7 のスピン軌道を調整して、ブロッホ波束を制御してトポホを量子化する野望
110,Measuring Density Functional Parameters from Electron Diffraction Patterns
収束電子線回折で求まる電子密度とDFT計算を組み合わせたQCBED-DFT、熱すぎるな
111,Inhomogeneous ferromagnetism mimics signatures of the topological Hall effect in SrRuO3 films
SrRuO3のトポホ、スキルミオンじゃなくてRuの欠損由来の不均一強磁性でしょ説、Keimer研もこちらの主張できたか~
112,Ultrafast dynamics in relativistic Mott insulators
スピン軌道相互作用の強いモット絶縁体を相対論的モット絶縁体とよぶのセンス有るな(?)
113,Review of experiments on the chiral anomaly in Dirac-Weyl semimetals
Ong研によるディラック-ワイル半金属のカイラル異常由来輸送現象のレビュー(゚∀゚)キタコレ!!研究者
114,Novel Jeff=3/2 Metallic Phase and Unconventional Superconductivity in GaTa4Se8
J=3/2金属相、興味深い
115,A universal method for depositing patterned materials in-situ
半導体ナノ粒子と光還元反応を使って任意の場所に簡単にパターニングする手法の提案、陰陽パンダ!
116,Sudden collapse of magnetic order in oxygen deficient nickelate films
ニッケル酸化物から酸素を欠損させていくと突然磁気転移が消える(´・∀・`)ヘー
117,A Frustrated Bimeronium: Static Structure and Dynamics
バイメロニウム(゚A゚;)ゴクリ
118,Attosecond state-resolved carrier motion in quantum materials probed by soft X-ray XANES
アト秒X線分光がテーブルトップにできる時代か。テクノロジーは進むなぁ
| プルプルしてる感がかわいい |
119,Spectroscopic Evidence of Superconductivity Pairing at 83 K in Single-Layer FeSe/SrTiO3 Films
単層鉄セレン、アルペスで見ると83Kから対形成の兆候あり、ガチればZERO抵抗もそこまでいくか?
| たしかに83Kくらいから相転移してるようにみえる解析だ |
Incoherent Cooper pairing and pseudogap behavior in single-layer FeSe/SrTiO3
単層鉄セレン、すごい高温から擬ギャップぽいふるまい見えますよ説、抵抗とアルペスの合わせ技フム(( ˘ω ˘ *))フム
| ゼロ抵抗よりずっと高温からギャップが開き始めてるようにみえる |
120,Hybridization of Bogoliubov-quasiparticles between adjacent CuO2 layers in the triple-layer cuprate Bi2Sr2Ca2Cu3O10+δ studied by ARPES
3層銅酸化物の超伝導転移温度以下のバンド分散、TK研とは違う解釈ですかフム(( ˘ω ˘ *))フム
121,Symmetry properties of superconducting order parameter in Sr2RuO4
レゲットによる最新のルテネイトの超伝導対称性のレビュー、これと固体量子師の動画見れば最近の流れがわかるか?
Magnetoresistance oscillation study of the half-quantum vortex in doubly connected mesoscopic superconducting cylinders of Sr2RuO4
ルテネイトと新たな半整数フラックス由来現象の観測、やっぱ3重項やねん!説。ヘリカル3重項ってやつがもっともらしいのかな?
122,On the happiness of ferroelectric surfaces and its role in water dissociation: the example of bismuth ferrite
タイトルから幸せを感じる
123,Recent progress in antiferromagnetic dynamics
反強磁性体の最新レビュー、やっぱりスピントロニクスなり
124,Flux crystals, Majorana metals, and flat bands in exactly solvable spin-orbital liquids
新概念のバーゲンセールか?
125,Reemergence of superconductivity in pressurized quasi-one-dimensional superconductor K2Mo3As3
圧力誘起リエントラント超伝導、ギャップの対称性とかもかわるのかな?
126,Surface band characters of Weyl semimetal candidate material MoTe2 revealed by one-step ARPES theory
モテテのフェルミ面の偏光依存性をはっきりさせました説、心の目を感じる図だ。。。
127,Naturally occurring van der Waals materials
自然に有るいろんなファンデルワールス物質の紹介、渋いレビューだ
128,Multifunctional Oxides for Topological Magnetic Textures by Design
酸化物スキルミオン(スキルミオンとは言ってない)の最新レビューだ。
129,Spin Insulatronics
磁性絶縁体と金属界面の電荷スピン変換をスピンインシュレイトロニクスと呼ぶのか
130,Quantum spin Hall edge states in twisted-bilayer 1T'-WTe2
捻り二層ワテテは量子スピンホール状態、捻りTMDはいろんな物性だしてくるな
131,Kagome lattice is not a "Holy Grail" for the spin liquid from the perspective of crystal chemistry
ハーバートスミス石はスピン液体的だけど、カゴメ格子自体は結晶化学的にはスピン液体には不利だよ説。なんでや。。。
132,Nematic Antiferromagnetism and Deconfined Criticality from the Interplay between Electron-Phonon and Electron-Electron Interactions
正方格子で電子格子・電子間相互作用考えるとまだ未知の相がみつかるのか。ウンウンそれもまた量子液晶だね。
133,The Discovery of Tunable Universality Class in Superconducting β-W Thin Films
量子臨界性のユニバーサルクラスを厚み次第でコントロールできる物質、たしかに聞いたことないな
| 厚みでDisorderのレベルが変わるのが原因なんすね |
134,Fe-vacancy ordered Fe4Se5: The insulating parent phase of FeSe superconductor
Fe4Se5、FeSeに似たただの絶縁体かとおもってたけど、高速アニールすると超伝導示すとは…やはりアニールは偉大だね
135,MeltNet: Predicting alloy melting temperature by machine learning
合金の融点を予想する機械学習手法メルトネット、名前がわかりやすい
136,Low Temperature Emergence of an Orbital-Selective Mott Phase in FeTe1−xSex
軌道選択的モット転移、鉄系の普遍的現象なのかな?
137,Many-body quantum magic
多体量子マジック、この辺初耳やな
Symmetry-protected sign problem and magic in quantum phases of matter
対称性保護符号問題と対称性保護マジック、なんか新しい概念が提案されてる
※マジック状態、量子計算に使われる概念かな?
138,Charge Density Waves and Coplanar Magnetism in Gd2PdSi3
Gd2PdSi3の輸送現象はスキルミオン由来ではない説、揉めるかな?
139,An Exercise in Open Data: Triple Axis Data on Si single crystal
図2のクオリティよ
140,Topological Invariants of a Filling-Enforced Quantum Band Insulator
トポロジカル不変量とフィリングエンフォース量子バンド絶縁体の関係よく分かってないよね理論、トポロジカル分類の奥は深い
141,Quantum Oscillations in a Spin-3/2 Topological Semimetal
YPtBiのj=3/2電子の量子振動、j電子物理流行るかな?
142,Spin-current version of solar cells in non-centrosymmetric magnetic insulators
スピン流版の太陽電池の提案(´・∀・`)ヘー
143,Synthesis and physical properties of perovskite Sm1−xSrxNiO3 (x = 0, 0.2) and infinite-layer Sm0.8Sr0.2NiO2 nickelates
新しいニッケル酸化物の多結晶作ったけどやっぱり超伝導でないよ、やっぱり薄膜じゃないとだめなんか?

コメント
コメントを投稿