超伝導ギャップ構造の違いのわかる男になればモテる…ってコト!?

 【イントロ】

『ちいかわ』 ©ナガノ

というわけで、本記事では、超伝導体の超伝導ギャップの構造を観測するための手法について調べてみました。

【方法】

いろんな論文を思い出しました。

【結果・・・の前に】

○超伝導ギャップてそもそもなんなの?
 超伝導は、物質中の電子が2つ組になったクーパー対を形成し、その凝縮により生じる現象です。このクーパー対形成による2つの電子のエネルギーの利得が超伝導ギャップ(エネルギー)であり、超伝導状態では常伝導状態と比較してこのギャップ分エネルギーが低い状態となります。
 BCS理論に基づくと、超伝導ギャップΔと超伝導転移温度Tcは、
Δ(T=0)=1.764k_BTc(k_Bはボルツマン定数)
と表されます。ただし、銅酸化物超伝導体などの非従来型超伝導体などでは、この係数は違ったものになることが知られています。
 一般的な超伝導体では、どの運動量方向にも均等にギャップが開くFull gap(フルギャップ)と呼ばれる超伝導ギャップ構造を示します。一方で銅酸化物超伝導体などの非従来型超伝導では、特定方向のギャップサイズがゼロになるNodal gap(ノーダルギャップ)と呼ばれる構造を示します。Nodal gapにはLine NodeやPoint nodeなど様々な種類があります。
 このギャップ構造は、超伝導を創発する相互作用の種類、そして対称性と深い関係があります。そのため、ギャップ構造の決定は該当物質の超伝導メカニズムの解明に重要な課題となっています。
 ○超伝導ギャップ対称性と超伝導ギャップ構造の関係
 以下では、このギャップ構造を決定するための様々手法を調べてみました。
  超伝導ギャップは本来振幅部分と位相成分から構成されます。本記事では振幅成分の運動量空間での構造に絞って調査してみました。
  どの手法も1つだけで十分なわけではなく、結果を総合的に判断してギャップ構造を判定する必要があります。

【結果】

●ARPES(角度分解光電子分光法)
 運動量空間の超伝導ギャップ構造を直接みるならこれ。最強と言っても過言ではない。フルギャップなら等方的なギャップ、ノードがあるならギャップが小さい運動量方向が直接見える。
もうコレでええやん。
ただし装置の到達可能温度やエネルギー分解能の問題で、超伝導転移温度の低い物質やギャップサイズの小さい物質には適用し辛い。あと圧力とか磁場とか掛けられないところは残念。
 ○s波超伝導体のフルギャップ構造
AIP Advances 2, 041409 (2012)

 ○d波超伝導のノードのあるギャップ構造
Nature Physics volume 10, pages483–495 (2014)


●平面接合トンネル分光法/STS(走査型トンネル分光法)
 最強の手段その2。おおよそ状態密度に対応した励起スペクトルが得られる実験手法。フルギャップの場合はU字型、ノードがある場合はV字型のギャップが観測できる。磁場もかけれてスゴイし、エネルギー分解能も更に凄い。注意点といえば表面敏感なところと圧力が掛けられないところくらいかな?
まてりあ/34 巻 (1995) 12 号/トンネル効果からみたギャップ構造

 ○フルギャップの場合のトンネル分光スペクトル
 ○ノードがある場合のトンネル分光スペクトル
Nature Communications volume 10, Article number: 1603 (2019)


●比熱
 超伝導ギャップの形状に従って、低エネルギー準粒子励起の温度依存性が異なってくる。おおよそ、フルギャップの場合は指数関数的、ノードが存在する場合は温度のべき乗で変化することが理論的に予想されている。そのため、各種物理量の温度依存性を測定することでギャップ構造を推定することが可能となる。バルク敏感なところもGood。
 この他にも磁場依存性、磁場角度依存性と合わせて測定することでさらなる構造の特定が可能となる。
 ○超伝導ギャップ構造の違いによる比熱の温度依存性
<講義ノート>磁場角度回転比熱測定による超伝導研究 (J-Physics 若手夏の学校 2016年8月8日~12日:テキスト)

 ○フルギャップの場合の比熱の温度依存性
Phys. Rev. B 99, 014516 – Published 30 January 2019

 ○ノードがある場合の比熱の温度依存性

●熱伝導
 熱伝導度の場合は、ゼロ温度の残留電子熱伝導度成分を外挿することでギャップにノードがあるかどうか調べる事が多い印象。
 また、残留成分の磁場依存性がフルギャップとノーダルギャップで異なるため、その観点から調べられることも多い。

 ○ノードの有無による残留熱伝導度成分の有無
 ○残留熱伝導度の磁場依存性の超伝導ギャップによる違い
H Shakeripour et al 2009 New J. Phys. 11 055065



●磁場侵入長/μSR(ミューオンスピン回転法)
 磁場侵入長の温度依存性もギャップ構造に敏感な測定手法の1つ。トンネルダイオードやマイクロ波インピーダンス測定から求める手法とμSRを用いて用いて測定する手法がよく使われている。前者はラボ内で実験できる一方絶対値を求めることが難しい、後者は大型施設が必要だが絶対値まで測定できるという点で相補的な手段となっているようです。
 最近では磁場侵入長の磁場依存性からノードの有無が判定できることが報告されていて進化が続いています(J. A. Wilcox et al.)。

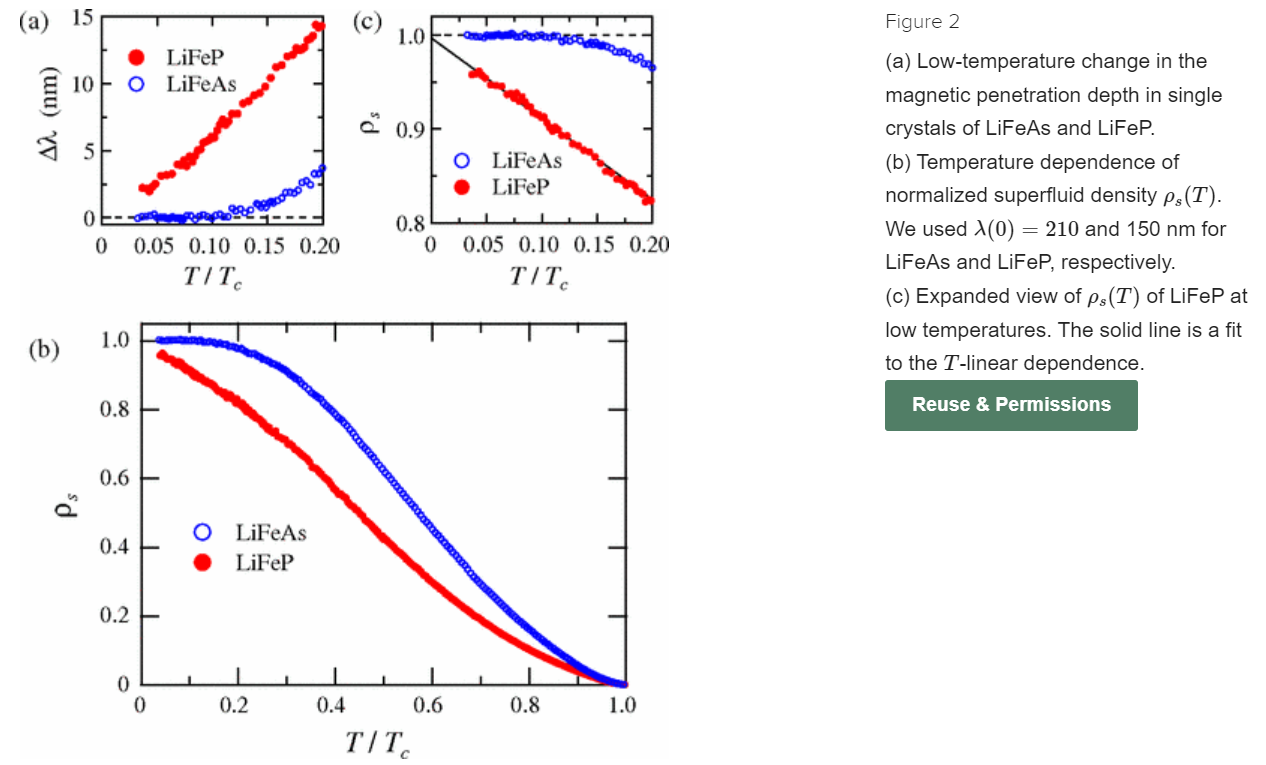
 ○フルギャップ(LiFeAs)とノーダルギャップ(LiFeP)の温度依存性
Phys. Rev. Lett. 108, 047003 – Published 26 January 2012

  ○μSRによる有機物超伝導体の超伝導状態のミューオンスピン緩和率から求めた磁場侵入長の温度依存性
PHYSICAL REVIEW B 104, 224506 (2021)



●NMR
 NMRで観測できる核磁気緩和率も準粒子状態密度に敏感な物理量の一つで超伝導ギャップを調べるためによく測定されている。また、s波対称性フルギャップの場合はTc直下にコヒーレンスピークと呼ばれるピーク構造が生じることから、そうしたピーク構造の有無もギャップ構造の判定に利用されている。
 ○超伝導ギャップ構造による核磁気緩和率の温度依存性の違い
<講義ノート>磁場角度回転比熱測定による超伝導研究 (J-Physics 若手夏の学校 2016年8月8日~12日:テキスト)

 ○鉄系超伝導体の核磁気緩和率の温度依存性
⚫その他
 この他にも、不純物効果や光学伝導度、臨界磁場、超音波吸収、中性子散乱など色々あります。

【まとめ】

 今回の記事では、超伝導体の特徴である。超伝導ギャップ構造を特定するための様々な測定方法をまとめてみました。
 色んな手法がありますね。ギャップ構造は不純物によっても異なったりするので、実際の温度変化や磁場変化はもっと複雑です。色んな測定を組み合わせて貴方だけの最強の特定手法をみつけましょう!
(他にも測定手法があれば、情報、文献募集中です)

【参考文献】

[日本語記事]
・橘高俊一郎、<講義ノート>磁場角度回転比熱測定による超伝導研究 (J-Physics 若手夏の学校 2016年8月8日~12日:テキスト)
・松田祐司、<講義ノート>非従来型超伝導(第60回物性若手夏の学校講義ノート)
・内田慎一、超電導エネルギーギャップの神秘、「超電導Web21」2001年4月号掲載
 ※リンク先PDF
・石田憲二、異方的超伝導(強相関伝導系の物理 若手秋の学校,講義ノート)
・堀田貴嗣、強相関電子系における超伝導(強相関伝導系の物理 若手秋の学校,講義ノート)

[ARPES]
・J.A. SOBOTA, Y. HE, Z.-X. SHEN, Angle-resolved photoemission studies of quantum materials, Reviews of Modern Physics 2, 93 (2021)
・A. DAMASCELLI, Z. HUSSAIN, Z.-X. SHEN, Angle-resolved photoemission studies of the cuprate superconductors, Review of Modern Physics 75, 473 (2003)
[トンネル分光]
・Øystein Fischer et al., Scanning tunneling spectroscopy of high-temperature superconductors, Rev. Mod. Phys. 79, 353 – Published 13 March 2007
[比熱]
・Hai-Hu Wen, Specific heat in superconductors, Chinese Physics B, Volume 29, Number 1
[熱伝導]
・H Shakeripour, C Petrovic and Louis Taillefer, Heat transport as a probe of superconducting gap structure, New Journal of Physics, Volume 11, May 2009
[磁場侵入長/μSR]
・Ruslan Prozorov et al., Magnetic penetration depth in unconventional superconductors, Superconductor Science and Technology, Volume 19, Number 8
・Jeff E. Sonier, μSR Studies of Cuprate Superconductors, J. Phys. Soc. Jpn. 85, 091005 (2016) 
[NMR]
・Ma Long and Yu Wei-Qiang, Review of nuclear magnetic resonance studies on iron-based superconductors, Chinese Physics B, Volume 22, Number 8
[その他分野の概観]
Xingjiang Zhou et a., High-temperature superconductivity, Nature Reviews Physics volume 3, pages462–465 (2021)





コメント

このブログの人気の投稿

拙著はリジェクト また…流れるでござるよ~逆オッカムの剃刀を使って論文を魅力的に~

ワイが面白いと思った論文はこれだ!~2024年まとめ~

2025年3月の気になった論文(完全版)